DIFERENÇA?

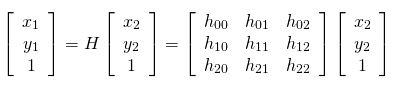
  • HOMOGRAPHY: A homography, is a matrix that maps a given set of points in one image to the corresponding set of points in another image. The homography is a 3x3 matrix that maps each point of the first image to the corresponding point of the second image. See below where H is the homography matrix being computed for point x1, y1 and x2, y2

  • AFFINE TRANSFORM: An affine transform generates a matrix to transform the image with respect to the entire image. It does not consider certain points as in the case of homography. Hence in affine transformation the parallelism of lines is always preserved.


🌱 Back to Garden